热门新闻

Alevel数学干货,微积分之链式法则

来源:环球教育    发布时间:2018-08-29

Alevel数学干货,微积分之链式法则

1.The China rule (链式法则)

If y=f(u) is a differentiable function of u and u=g(x) is a differentiable function of x, then y=f(g(x)) is a differentiable function of x and

https://mmbiz.qpic.cn/mmbiz_png/y62uKLYkM8ddrKnM030dX3NicLZwJpwFlDub2Lp47lhnkVoqMIhsxdqCdibiaIBLGWUibjK48mRO2MyQ3iaLmic6xggQ/640?wx_fmt=png

or, equivalently,

https://mmbiz.qpic.cn/mmbiz_png/y62uKLYkM8ddrKnM030dX3NicLZwJpwFluug7TbBkaWmM5BNLdILSoqjQMTVx5p83Nic6l3QDrdaMKmStEj0gG5Q/640?wx_fmt=png

如果复合函数处处可导,可使用链式法则来进行求导,外部函数的导数乘以内部函数的导数。

常考题型解析:

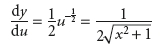
Example 1

https://mmbiz.qpic.cn/mmbiz_png/y62uKLYkM8ddrKnM030dX3NicLZwJpwFlxK9KSkojS2Piboe2Ekc3zOxNCmDPof6LuGicW0EPBls0APxOgv7vonCg/640?wx_fmt=png

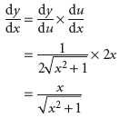
SOLUTION

As you saw earlier, you can break down this expression as follows.

https://mmbiz.qpic.cn/mmbiz_png/y62uKLYkM8ddrKnM030dX3NicLZwJpwFlibN5nuWHYGvg9GuvGEdulUHdzu4sHNLIsORehICojbTP49uLdia0kczw/640?wx_fmt=png

Differentiation these gives

https://mmbiz.qpic.cn/mmbiz_png/y62uKLYkM8ddrKnM030dX3NicLZwJpwFlCbgxMzhYxfsyTjJVRgt6nIevTMQCTIy8d2YGXOdM1HHHpLa9nEzOvQ/640?wx_fmt=png

and

https://mmbiz.qpic.cn/mmbiz_png/y62uKLYkM8ddrKnM030dX3NicLZwJpwFlpb2NgwY2sC3ianLicBnZFR9Zrd8rmbaewzF3aA3pdAE7MFc8Acic6iaYWg/640?wx_fmt=png

By the chain rule

https://mmbiz.qpic.cn/mmbiz_png/y62uKLYkM8ddrKnM030dX3NicLZwJpwFlQmRJzPjDeQJE0qB5n45n2UicRibUAP0YverBjnibW0QqOYAPpl4icbmFOg/640?wx_fmt=png

2. Related-Rate Problems

相关变化率问题

Differentiation with respect to different variables

对于不同变量的微分

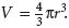
The chain rule makes it possible to differentiate with respect to a variable which does not feature in the original expression. For example, the volume V of a sphere of radius r is given by

https://mmbiz.qpic.cn/mmbiz_png/y62uKLYkM8ddrKnM030dX3NicLZwJpwFlfh2h76rLaRFaiaG9bfthakWq7icVerIqKVlJxXh91QEgPG45icDj3xbXg/640?wx_fmt=png

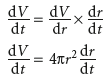
Differentiating this with respect to r gives the rate of change of volume with radius,

https://mmbiz.qpic.cn/mmbiz_png/y62uKLYkM8ddrKnM030dX3NicLZwJpwFlhpo6wsmGPQHBkMiaD6HS6ibn7GSwtTleTJ3gOM0PxGGzx7iaZM6yHoCNg/640?wx_fmt=png

However you might be more interested in finding dv/dt, the rate of change of change of volume with time, t. To find this, you would use the chain rule:

https://mmbiz.qpic.cn/mmbiz_png/y62uKLYkM8ddrKnM030dX3NicLZwJpwFlDKVttD8D7FDLOMDDp3GrEnpLARJCkiab4z1HmZHUHDic3lv1eCaAedpg/640?wx_fmt=png

相关变化率问题是复合函数求导的应用,例,半径为r的球体积为

https://mmbiz.qpic.cn/mmbiz_png/y62uKLYkM8ddrKnM030dX3NicLZwJpwFlfh2h76rLaRFaiaG9bfthakWq7icVerIqKVlJxXh91QEgPG45icDj3xbXg/640?wx_fmt=png

体积对半径进行微分,可得到体积对于半径的变化率,

https://mmbiz.qpic.cn/mmbiz_png/y62uKLYkM8ddrKnM030dX3NicLZwJpwFlzDM6x9icBxRJcUwRAbKbpqgNw0M22y4QEptCIfzd5MPySaS9zbX1zjw/640?wx_fmt=png

要求出体积对于时间的变化率dV/dt,可以使用链式法则,通过半径r对时间t进行微分。

常考题型解析

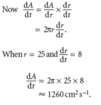
Example 2

https://mmbiz.qpic.cn/mmbiz_png/y62uKLYkM8ddrKnM030dX3NicLZwJpwFl6v5KlDFQqrjicBcBxkGN7LA9pIRHJgMe6SSWv9aurPbP0suMpfQN50g/640?wx_fmt=png

https://mmbiz.qpic.cn/mmbiz_png/y62uKLYkM8ddrKnM030dX3NicLZwJpwFl4Z1MthH9ukaFjQzs0nneDhvc2dmjPVdPZRBMQYuGmCZy0nmdkuia0wA/640?wx_fmt=png

https://mmbiz.qpic.cn/mmbiz_png/y62uKLYkM8ddrKnM030dX3NicLZwJpwFlL423CuW7c2vyaZSJqZuIicpSLJqSXNJVkkEUF4wdibYoqoO9QicDMhzXg/640?wx_fmt=png