即将踏入国际高中的同学们,先来学习下三角函数吧。
Angles角
An angle is determined by a rotation of a ray about its endpoint. The endpoint of the ray is the vertex of the angle. The stating position of the ray is the initial side of the angle, and the position after rotation is the terminal side.
角度是由一条射线绕着顶点旋转构成的,射线的端点是角的顶点,和起始边与终边一起构成了一个角。

angle is in standard position 角的标准位置
This perception of an angle fits a coordinate system in which the origin
is the vertex and the initial side coincides with the positive x-axis.
Such an angle is in standard position.
角的标准位置,顶点在直角坐标系原点,初始边与x轴的正半轴重合。

Positive and negative angles角的正负
Positive angles are generated by counterclockwise rotation, and
negative angles by clockwise rotation.
正角是逆时针旋转形成的角,负角是顺时针旋转形成的角。
Coterminal 终边相同的角
note that angles a and b have the same initial and
terminal sides. Such angles are coterminal.
a 和 b角有相同的初始边和终边,这样特点的角是终边相同的角。


Degree angles角的测量(度数)
A way to measure angles is in terms of degrees, denoted by the symbol °.
A measure of one degree (1°) is equivalent to a rotation of a complete revolution about the vertex.
角的大小可以用度数测量,一个完整圆周是360度。

Radian Measure 角的测量(弧度)
The second way of measure of an angle is determined by the amount of rotation from the initial side to the terminal side,this way to measure angles is in radians. This type of measure is especially useful in calculus.
第二个测量角度的方法是用弧度
To define a radian, you can use a central angle of a circle, one whose vertex is the center of the circle.
圆心在原点的圆心角用来测量弧度的大小。
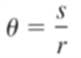
Definition of Radian
One radian is the measure of a central angle θ that intercepts an arc s equal in length to the radius r of the circle, where θ is measured in radians.
当弧线等于圆的半径时,弧度等于1.
常见的角度弧度
These and other common angles are shown in the figure
Conversions between Degrees and Radians
To convert degrees to radians, multiply degrees by π180
To convert radians to degrees, multiply radians by 180π
转化角度到弧度,乘以π180
转化弧度到弧度,乘以180π
Example 1 Convert from degrees to radians
例题:转化角度到弧度
a. 30° b.-120
Solution:
30° = 30 x π180 rad = π6
-120°=-120×π180 rad=-2π3
Example 2 Convert from radians to degrees
例题:转化弧度到角度
a. π3 rad b. -5π4 rad
Solution:
π3 rad = π3 x 180π deg = 60°
-5π4 rad=-5π4×180π deg=-225°