免费公开课

免费公开课

来源:    发布时间:2018-08-31

今天的国际课程提前学,给大家带来的是弧长与扇形面积的公式推算,请大家一起来学习吧!(后附视频解读哦~)

Arc Length

弧长公式

https://mmbiz.qpic.cn/mmbiz_png/y62uKLYkM8djto9J4ESlcvxHib7JYy5HUwIIzthia9eA6qnXjUvYNDr7Rn2GcsyibickvR41cQFia2wQQU0wpoJysVA/640?wx_fmt=png

Proof 证明:

https://mmbiz.qpic.cn/mmbiz_png/y62uKLYkM8djto9J4ESlcvxHib7JYy5HUyKMt8DEWhpWicMQmcxAYricicB90lopNSeXr49icWAhUrvpypVOr8lwg7Q/640?wx_fmt=png

Example(例子)

https://mmbiz.qpic.cn/mmbiz_png/y62uKLYkM8djto9J4ESlcvxHib7JYy5HU0aBctRc8Zk2ksNbPPJxKMnCZMxcYuDWp8mgd2XtC6N3et3Uq4DkPog/640?wx_fmt=png

Solution:

https://mmbiz.qpic.cn/mmbiz_png/y62uKLYkM8djto9J4ESlcvxHib7JYy5HUyjq9hgy9A8lgjCwbYYibU1MoTW5l7lYrp33fDyCibegdRDP1CCP66Rfg/640?wx_fmt=png

Area of a Sector of a Circle

扇形面积

https://mmbiz.qpic.cn/mmbiz_png/y62uKLYkM8djto9J4ESlcvxHib7JYy5HUJjVwEB3fxDWzqULGich0icdDkeVdfS7lXGz1iatXZiaGJWSicYXBl3QT3PA/640?wx_fmt=png

Proof 证明:

https://mmbiz.qpic.cn/mmbiz_png/y62uKLYkM8djto9J4ESlcvxHib7JYy5HURoPrCwST7zpmUj2e464tn9PHKT3MaM2icXL1FI6Uoiccz2Ske78hibicicw/640?wx_fmt=png

Example 2(例子)

https://mmbiz.qpic.cn/mmbiz_png/y62uKLYkM8djto9J4ESlcvxHib7JYy5HUBg5Ht9pX8icztu05lkYFrGiaTZW6CDUYf92CakNFycBVcRUGGtysRL0w/640?wx_fmt=png

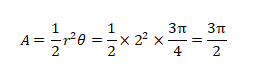
Solution:

https://mmbiz.qpic.cn/mmbiz_png/y62uKLYkM8djto9J4ESlcvxHib7JYy5HUkElvVNlJ1MjaBbctgbr2iczxwVia0gamcvDPMPKJ4KFjbJeib9vTsicHgg/640?wx_fmt=png