免费公开课

免费公开课

来源:    发布时间:2018-08-31

今天的国际课程提前学,给大家带来的是:微积分5:链式法则,请大家一起来学习吧!(后附视频解读哦~)

The Chine rule

链式法则

https://mmbiz.qpic.cn/mmbiz_png/y62uKLYkM8cOWJ6YQmvVapjfsW9LrIoNNA5u6N1zrjUicl2d913RKIYcLCiau53vXKIUYL1ficCZXtz1EtiaiaIzF8g/640?wx_fmt=png

常考题型解析:

https://mmbiz.qpic.cn/mmbiz_png/y62uKLYkM8cOWJ6YQmvVapjfsW9LrIoNib5Q2xauKL12ria7XagettXWBiacPn7CVZ8faUrC3Y3DeUtuqecE7Sialg/640?wx_fmt=png

Related-Rate Problems

相关变化率问题

https://mmbiz.qpic.cn/mmbiz_png/y62uKLYkM8cOWJ6YQmvVapjfsW9LrIoNYhlric5Sib9VwslW5P2WXicBXSj1QaFFyYx56ANMlibPf27FxsnQvRdRaw/640?wx_fmt=png

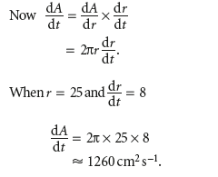
常考题型解析:

https://mmbiz.qpic.cn/mmbiz_png/y62uKLYkM8cOWJ6YQmvVapjfsW9LrIoNcv6P7ZcvxNib4FzmlAZichNXmsHJohRkBuOjLCX0WqIAOys8wtbjF09w/640?wx_fmt=png

https://mmbiz.qpic.cn/mmbiz_png/y62uKLYkM8cOWJ6YQmvVapjfsW9LrIoNPTIx5Dldezq1wFMdM9w1Kwr8EbiaN08mMfwiaSplIkyWNL0IF0GO183w/640?wx_fmt=png