相关阅读

A-level数学干货,微积分之切线法线

来源:环球教育    发布时间:2018-08-29

A-LEVEL系列又出干货啦,今天为大家送上的是A-LEVEL数学——微积分之切线法线。


1、 Two forms of Equation of lines(直线方程的两种常见形式):


a. Point-slope Form of a line(点斜式):


https://mmbiz.qpic.cn/mmbiz_png/AzyaK3HicehfibdatwayiaLOiaD24d0q2dibegvSyXgUOGFL5UgbKCibhRhicBMobzX5rpfXLEq9FpmBUiaDMKcwpqYAicQ/640?wx_fmt=png


m is called slope or gradient of this line,https://mmbiz.qpic.cn/mmbiz_png/AzyaK3HicehfibdatwayiaLOiaD24d0q2dibepb8oU1tGcrkOdibydLkWxvX68efWaa4CiczicpxXfHyibOG1T6fVeW5DeQ/640?wx_fmt=pngis any point on this line.

M是直线的斜率,https://mmbiz.qpic.cn/mmbiz_png/AzyaK3HicehfibdatwayiaLOiaD24d0q2dibepb8oU1tGcrkOdibydLkWxvX68efWaa4CiczicpxXfHyibOG1T6fVeW5DeQ/640?wx_fmt=png是这条直线上任意一点。

b. Slope-Intercept Form of a line(斜截式):


https://mmbiz.qpic.cn/mmbiz_png/AzyaK3HicehfibdatwayiaLOiaD24d0q2dibe6E4mALcZPiafGBD6vryK2jzgBqaribicLiadVh7ehKL8WdIbRibVDz5a0Ww/640?wx_fmt=png

The graph of the function is a line whose slope is m and  y-intercept is (0, b).

直线的斜率是m,y截距为b。


两种形式的直线方程在本质上都可以代表某条直线,只是表现形式不同,点斜式适合已知一个点与直线斜率的情况,斜截式可以一眼看出直线的斜率与截距。中国同学普遍对斜截式更熟悉,在微积分的体系内,求直线方程的时候点斜式会更便捷。


2. Tangent lines & normal lines(切线与法线)


https://mmbiz.qpic.cn/mmbiz_png/AzyaK3HicehfibdatwayiaLOiaD24d0q2dibeILFDhd4aSZEhuAoNWJ9XXPwVdLV2L3qLaO71YyfT0EzgfO2gLdS0iaQ/640?wx_fmt=png

The normal to a curve at a particular point is the straight line which is at right angles to the tangent at that point,for perpendicular lines, m1m2 = −1.

曲线上某点的法线的斜率与通过该点的切线垂直,两条直线垂直,斜率的乘积为-1。


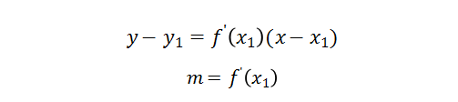
切线方程

Find the equation of the tangent line on f(x) at x=x₁,求过函数f(x)图像上某点x₁切线方程。


https://mmbiz.qpic.cn/mmbiz_png/AzyaK3HicehfibdatwayiaLOiaD24d0q2dibealJYt6B78SmibExbrZ51XRHjSUBXsIohibQ2qFoiaaTmUJMhhzvK67cBQ/640?wx_fmt=png

m is the gradient of this point, which could be determined by derivative.

m 是图像上在x为x₁时的切线斜率,可通过求导来求出该点的斜率。


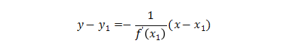
法线方程

Find the equation of the normal line on f(x) at x=x₁,过函数f(x)图像上某点x₁线方程。

https://mmbiz.qpic.cn/mmbiz_png/AzyaK3HicehfibdatwayiaLOiaD24d0q2dibeibE2FRTyyalTqQiaicK9pdzpouw7RjuPhA2EATpgGbw4iaU1flUk8ABnqQ/640?wx_fmt=png

两条直线垂直,斜率的乘积为-1,所以法线的斜率是切线斜率的负倒数。


Example 1 (求切线)


https://mmbiz.qpic.cn/mmbiz_png/AzyaK3HicehfibdatwayiaLOiaD24d0q2dibeWybGVMKWFdO4XBedyrsTqSI9ngBcKXxYu5E5ibiac6DN0WD2sNdoJP8A/640?wx_fmt=png


https://mmbiz.qpic.cn/mmbiz_png/AzyaK3HicehfibdatwayiaLOiaD24d0q2dibeeh1glQiag8bGbiaBlthrIxibbp00yck3vZlicHViacNJic1KFUT2OjDsqPCw/640?wx_fmt=png


Example 2(求法线)


https://mmbiz.qpic.cn/mmbiz_png/AzyaK3HicehfibdatwayiaLOiaD24d0q2dibevKgk4zwxGibX6dhOcxMz0JWmBQXGCmkWFOVhmMRrny08fnWOaZeAIuw/640?wx_fmt=png

https://mmbiz.qpic.cn/mmbiz_png/AzyaK3HicehfibdatwayiaLOiaD24d0q2dibed9n1uOEGicYZ29TIaUPWMhOiaS8QOV8BfLjr4enEJe4DGdnmTJia53uNQ/640?wx_fmt=png

以上A-LEVEL微积分之切线法线题同学们都理解了嘛?