相关阅读

Alevel数学干货,微积分之链式法则(2)

来源:环球教育    发布时间:2018-08-29

1. The China rule (链式法则)

https://mmbiz.qpic.cn/mmbiz_png/y62uKLYkM8daw5jfQiaJVkQVibFVGxe9AfRwEY7YDe0Ly14icJhTLRicyYIaolW0wk6JXFQFQaQLWfn7QOXYJbMOkQ/640?wx_fmt=png

如果复合函数处处可导,可使用链式法则来进行求导,外部函数的导数乘以内部函数的导数。BN


常考题型解析:

Example 1

https://mmbiz.qpic.cn/mmbiz_png/y62uKLYkM8daw5jfQiaJVkQVibFVGxe9AfSYXibSCyj5dAPDtpXaxPnSa1ufR4Y5wskeiaibF8dCJuoo805mKUQuvsw/640?wx_fmt=png


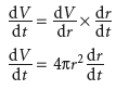
2. Related-Rate Problems

相关变化率问题

Differentiation with respect to different variables

对于不同变量的微分

https://mmbiz.qpic.cn/mmbiz_png/y62uKLYkM8daw5jfQiaJVkQVibFVGxe9AfBFmIX4pyfMrGgB37FEyp3DZaJMk2mA3OYibCoZsmdl7GPAkzYSoyUwA/640?wx_fmt=png

https://mmbiz.qpic.cn/mmbiz_png/y62uKLYkM8daw5jfQiaJVkQVibFVGxe9AfPcR0sbDjIviav00hicUJugHKdEuS0SAHNaRs9kOR0szmyRF8pxgqG9jQ/640?wx_fmt=png

https://mmbiz.qpic.cn/mmbiz_png/y62uKLYkM8daw5jfQiaJVkQVibFVGxe9AfhRTyW2hHg5zZpZx5vMTicBwzqkKJvjKAmwjKgQ8ibSKBtQp1ZlZ2gZJA/640?wx_fmt=png


常考题型解析

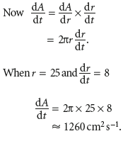
Example 2

https://mmbiz.qpic.cn/mmbiz_png/y62uKLYkM8daw5jfQiaJVkQVibFVGxe9Afz1qVS8COf8IicM8icnH1ibQJqUgecVcMXVqgaIeElYbCZ2Ln6q5t0biaBw/640?wx_fmt=png

https://mmbiz.qpic.cn/mmbiz_png/y62uKLYkM8daw5jfQiaJVkQVibFVGxe9AfBafudUV1aCfmFlnYwIN9vGXTmjANjgdesknK2acXvf88NY6cfiaTIOA/640?wx_fmt=png

https://mmbiz.qpic.cn/mmbiz_png/y62uKLYkM8daw5jfQiaJVkQVibFVGxe9AfV5sATp8jbQE4YibAcfn3fojAFKxZsgozatB9fhWqicDetOk3EzYaoofw/640?wx_fmt=png